Wave shoaling

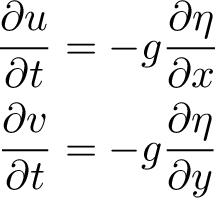
The shallow water equations can be used to model many scenarios and have many applications. The linear version here assume no coriolis force and no nonlinear terms of advection / flow of momentum. This also assumes that the phase speed is much faster than the flow speed. Arakawa C-grid Method includes wetting

Points to consider

  • There is a difference between flow speed, and wave speed. You can have one without the other. An ideal wave is a transfer only of energy and no net trasnfer of mass, so this distinction is also important wrt. mass transfer e.g contamination
  • Wave shape changes, due to change in phase speed, as the wave moves over the sloped seabed
  • Waves get squished together as they approach the sloped seabed, due to the change in wave speed

Inv

the change of height is given by

inv

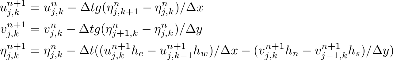
The equations are discretized by finite differences. Note the height equation uses future values of velocity, so we will calculate those first

inv

Boundary conditions are based on wetting, dry or not dry, with a cutoff for water height. The height equation uses the velocities and heights from the 4 edges of each cell.

Sim. 1 Wave shoaling on beach

The waves are approaching the beach at an angle, and here we see the model captures some effects that are observed in nature. The waves will tend to align with the beach front, and thus will curve more and more to hit the beach closer to a 90-degree angle. As the waves approach shallower waters, the speed decreases, and thus the wavelength decreases. This compression effect also comes with an increase in wave height, as observed on beaches.

Inv

Looking carefully at the edge between beach and water, we also see the wetting feature of the model. As water height increases near a dry cell, with a velocity going toward the dry cell, the dry cell will become wet. On the next iteration, the new wet cell is part of the water domain. On each iteration, every cell is checked for being wet or dry, based on if the water height is above some specified threshold.

Compare three scenarios

We can change the bottom topography and qualitatively see the effects that are captured by our model

The animations show the qualitative differences in waves that occur due to different bottom conditions. Several aspects of wave shoaling are captured, including slower wave phase speed, and shortening wavelength. Wave height should increase also.

Snow

Flat bottom

Sloped bottom

Mountains

Sloped and angled bottom

There are clear differences between the 3 scenarois, regarding wave shape and wave speed.

Home